如何用行式 Excel 数据制作不定行列的分组交叉统计表
需求说明
现在有某月产品销售明细数据的 Excel 文件,各订单数据按行存放,如下

要求根据“客户地区”和“产品类别”分组,具体地区及类别根据 Excel 对应列的数据情况生成不定行列的交叉统计表,如

尽管 Excel 可以绘制这种格式规整的交叉报表,但是不定行列的硬画就太麻烦了,像“东北、华北…”等所有地区名及“点心、调味品…”等产品类别名都需要从数据文件里统计后一一写死到各个单元格内,数据文件替换或一旦删除或新增了哪个地区或产品类别,报表就不对了,结果是反复修改或重做报表。另外,数据文件的列顺序出现变化还会出现汇总公式不灵等。
Excel 的数据透视表是否可以做这个呢? 答案是简单的可以做,但是如果再加个并列的分组维度,透视表就不好做了,比如下面再加个“销售员”的分组。

怎么办?
下载安装润乾报表
下载地址:http://www.raqsoft.com.cn/wx/download-for-businesspeople.html
下载润乾报表职场版,按照向导安装就可以了。首次启动软件时需要选择授权文件,事先下载一个免费授权就足够了。
先来看需求中较为简单格式的不定行列分组交叉表的制作。
报表制作过程
1、 打开润乾报表工具并新建空白报表

2、 增加数据集,数据集类型选择“文件数据集”,然后选择用作该报表数据的 Excel 文件,同时要选择所用到的列。另外,数据集名称可自定义,就用缺省的 ds1 即可。

3、 绘制报表,包括报表样式、报表单元格的表达式等

报表格式和 Excel 类似画就可以,单元格的表达式部分如下:
A1~B2:设置合并单元格,设置单元格边框为斜线类型,输入内容“统计维度, 产品类别
, 销售额”
B3:=ds1.group(客户地区; 客户地区:1)
C2:=ds1.group(产品类别; 产品类别:1) ,同时选中该单元格,设置扩展方式为“横向扩展”
C3:=ds1.sum(订单金额)
4、 保存报表并预览结果
点击工具栏中预览按钮,查看报表结果


5、 导出报表结果到 Excel 文件


再用新的月份数据绘制同样报表时,只需要将第 2 步引用的 Excel 数据文件替换或重新选择新的 Excel 数据文件即可。另外,引入的数据文件增删数据,对报表也没有影响,无需修改或重画。
进一步需求
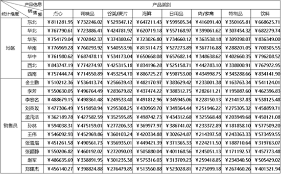
增加 Excel 数据透视表搞不定的需求:并列分组维度
1、 在第“2”步可选列中,增加勾选“销售人员”列

2、 报表内追加一行,并设置报表格式及表达式

B4:=ds1.group(销售人员; 销售人员:1)
C4:=ds1.sum(订单金额)
3、 预览报表结果

4、 导出结果到 Excel 文件

