"业务背景 Excel 中可以为统计图添加趋势线,常用的线性趋势,如下图 [图片] 在报表或者仪表板中的统计图需要显示趋势线的需求,需要在后台对数据进行计算。较理想的方式就是通过 spl 计算线 .."
业务背景Excel 中可以为统计图添加趋势线,常用的线性趋势,如下图
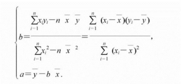
在报表或者仪表板中的统计图需要显示趋势线的需求,需要在后台对数据进行计算。较理想的方式就是通过 spl 计算线性趋势数据。实现方式1、 首先找到线性趋势计算公式,如下图分别是斜率和截距的公式,
线性趋势 = 斜率 *X+ 截距2、 编写 spl 脚本实现线性趋势计算
您好,对于线性拟合问题,SPL 可用 linefit() 直接拟合。用法参考Function-linefit()(raqsoft.com.cn)
根据你的数据,代码可以这么写,供参考:
更详细的例题:最小二乘法线性拟合 - 乾学院 (raqsoft.com.cn)
没找到这个函数,还自己算了一遍,谢谢
您好,对于线性拟合问题,SPL 可用 linefit() 直接拟合。用法参考Function-linefit()(raqsoft.com.cn)
根据你的数据,代码可以这么写,供参考:
更详细的例题:最小二乘法线性拟合 - 乾学院 (raqsoft.com.cn)
没找到这个函数,还自己算了一遍,谢谢