变量转换—Box-Cox 变换
Box-Cox变换是Box和Cox在1964年提出的一种广义幂变换方法,是统计建模中常用的一种数据变换,用于连续量不满足正态分布的情况
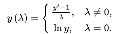
Box-Cox变换的一般形式为:

例如,对房价预测数据中的”SalePrice”进行Box-Cox变换
A |
|
1 |
=T("D://house_prices_train.csv") |
2 |
0.5 |
3 |
=A1.derive(if(A2==0,ln(SalePrice),(power(SalePrice,A2)-1)/A2):Box_Cox_SalePrice) |
A2 数据变换参数λ
A3 对SalePrice进行变换
